地址:山东省青岛市崂山区香港东路195号上实中心6号楼906室
欧稳德AN1425是我司一款在高温条件下具有优异防老化效果的抗氧剂产品。它具有良好的抗迁移和耐抽提特性,在缩聚和高温处理过程中也具有低挥发性等优异表现。
产品基本信息:

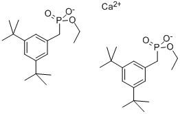
化学名:双(3,5-二叔丁基-4-羟基苄基膦酸单乙酯)钙
英文名:calcium bis[monoethyl(3,5-di-tert-butyl-4-hydroxylbenzyl)phosphonate]
分子式:2(C17H28O4P).Ca
分子量:694.84
CAS号:65140-91-2
外观:白色粉末
熔点:≥260.00℃

具体应用方面,欧稳德抗氧剂AN1425对尼龙有明显的抗老化作用,对聚丙烯纤维、ABS树脂、松香树脂、聚酰胺树脂效果也十分明显,特别对表面积大的制品有长效光、热稳定和抗氧化作用。尤其是在加工温度高于250℃的体系中,AN1425防老化效果更佳。
在松香酯的生产过程中,欧稳德 抗氧剂AN1425能缩短其反应时间,使产品具有低色变、酸性低、热稳定性高等特点,能避免一般酚类抗氧剂因其氧化物的光敏作用而有害于耐老性的弊端。
在PET塑料中,AN1425能提供更快的固态聚合,改善了着色现象,并减少乙醛的生成。
另外,欧稳德抗氧剂AN1425与欧稳德辅助抗氧剂AN168及润滑剂聚乙烯蜡复配使用,可以达到加工及长效热稳定作用。
获取其他产品信息可咨询我司相关业务人员,或登录我司官方网站www.deltachem.net查询。
青岛德达志成,期待您的垂询!