地址:山东省青岛市崂山区香港东路195号上实中心6号楼906室
欧稳德AO-80是耐气熏黄变抗氧剂家族中的一员,其优良的防老化效果和耐着色性能得益于其独特的结构!

千图网ID70299714
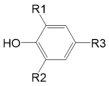
AO-80属于非对称型受阻酚抗氧剂,与传统的完全受阻酚抗氧剂(R1,R2均为叔丁基)相比,AO-80结构上的烷基基团不仅提供对酚羟基的保护作用,而且减少了空间位阻,因此捕捉自由基的能力增强,抗老化效率提升。
并且由于AO-80的酚羟基周围空间位阻相对较低,其间位上的硝基取代反应易于实现,有效解决NOx气熏黄变问题。而传统对称型受阻酚抗氧剂由于酚羟基空间位阻较大,硝基取代发生在对位,从而易得到有不同着色的对硝基化合物,这也就是为什么酚黄问题难以解决。

受阻酚抗氧剂结构通式

欧稳德 AO-80结构式
从如下在聚烯烃配方中的测试数据可看出,欧稳德 AO-80与其他受阻酚抗氧剂相比具有优异的热稳定性,在NOx影响下不易出现气熏黄变问题,能持续为材料在高温加工和使用过程中提供优异的抗热氧老化保护,保持材料初始色度,大幅提升产品品质和应用美观性。

OMNISTAB AO-80 在聚丙烯中的稳定性表现

千图网46074620
另外,当欧稳德® AO-80与高分子硫类抗氧剂复配使用时,具有优异的协同作用效果,比如欧稳德®AN800、欧稳德®AN802,可提供更好的耐热老化性能。欧稳德® AO-80适用于大多数塑料、聚烯烃和各种弹性体等,尤其适用于PE,PP,PA,PUR,POM。
欲了解更多欧稳德® AO-80产品信息,欢迎随时致电咨询我司销售业务人员。青岛德达志成,为您的聚合物材料品质保驾护航!